1.
SISTEM MAGNITUDO
Magnitudo semu atau Magnitudo tampak (m)
dari suatu bintang, planet atau
benda langit lainnya adalah pengukuran dari kecerahan atau
kecemerlangan yang tampak; yaitu banyaknya cahaya yang diterima dari objek itu.
Istilah magnitudo sebagai skala kecerahan bintang muncul lebih dari 2000 tahun
yang lampau.
Hipparchus, seorang astronom Yunani,
membagi bintang-bintang yang dapat dilihat dengan mata telanjang ke dalam 6
kelas kecerlangan. Ia membuat sebuah katalog yang
berisi daftar lebih dari 1000 bintang dan mengurutkan berdasarkan
“magnitudo”-nya dari satu hingga enam, dari yang paling cerlang hingga yang
paling redup.
Sistem tersebut kemudian semakin berkembang setelah
Galileo dengan teleskopnya menemukan bahwa ternyata terdapat lebih banyak
bintang lagi yang lebih redup daripada yang bermagnitudo 6. Skalanya pun
berubah hingga muncul magnitudo 7, 8 dan seterusnya. Namun penilaian kecerlangan
bintang ini belumlah dilakukan secara kuantitatif. Semuanya hanya berdasarkan
penilaian visual dengan mata telanjang saja.
Pada tahun 180-an, Claudius Ptolemaeus memperluas pekerjaan
Hipparchus, dan sejak saat itu sistem magnitudo menjadi bagian dari
tradisi astronomi.
Pada 1856, Norman Robert Pogson meng-konfirmasi
penemuan terdahulu John Herschel bahwa bintang bermagnitudo 1
menghasilkan kira-kira 100 kali fluks cahaya daripada
bintang bermagnitudo 6. Jadi, bintang dengan magnitudo 1 lebih terang 100 kali
daripada bintang dengan magnitudo 6, dan lebih terang 10000 kali daripada
bintang bermagnitudo 11, begitu seterusnya. Dengan rumusan Pogson ini,
perhitungan magnitudo bintang pun menjadi lebih teliti dan lebih dapat
dipercaya.
Perbandingan magnitudo
semu bintang dapat menggunakan rumus-rumus berikut:
dengan :
m1 : magnitudo (semu)
bintang 1
m2 : magnitudo (semu)
bintang 2
E1 : Fluks pancaran yang
diterima pengamat dari bintang 1
E2 : Fluks pancaran yang
diterima pengamat dari bintang 2
CONTOH :
1. Jika magnitudo semu
bintang B 1.000 kali lebih besar daripada bintang A, tentukanlah
beda magnitudo kedua
bintang !
Penyelesaian : mA – mB =
-2,5 log (EA/EB)
mA – mB = -2,5 log (0,001)
mA – mB = -2,5 (-3)
mA – mB = 7,5 magnitudo
TABEL MAGNITUDO SEMU (m)
-3
|
-2
|
-1
|
0
|
1
|
2
|
3
|
4
|
5
|
6
|
7
|
8
|
9
|
10
|
11
|
0.0064
|
0,16
|
0,4
|
1
|
2,5
|
6,3
|
16
|
40
|
100
|
250
|
630
|
1600
|
4000
|
104
|
25000
|
MAGNITUDO MUTLAK
Magnitudo mutlak (M)
adalah perbandingan nilai terang bintang yang sesungguhnya. Seperti yang Anda
ketahui, jarak antara bintang yang satu dan bintang yang lain dengan Bumi
tidaklah sama. Akibatnya, bintang terang sekalipun akan nampak redup bila
jaraknya sangat jauh. Oleh karena itu, dibuatlah perhitungan magnitudo mutlak,
yaitu tingkat kecerlangan bintang apabila bintang itu diletakkan hingga
berjarak 10 parsec dari Bumi.
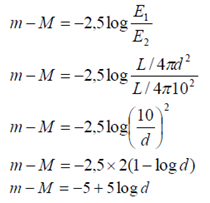
Perhitungan jarak
bintang, magnitudo semu dan magnitudo mutlak (absolut) adalah:
Jadi, magnitudo semu (m)
dan magnitudo absolut (M) sebuah bintang dengan jarak (d) dalam parsec dapat
dihubungkan oleh persamaan
Jika magnitudo absolut
dan magnitudo semunya diketahui, jaraknya dapat dihitung. Kuantitas m – M dikenal sebagai modulus jarak. Adapun
hubungan antara magnitudo mutlak dan luminositas (daya) bintang, L dapat
diterapkan berdasarkan rumus Pogson
CONTOH :
1. Diketahui m = 10, M =
5,hitung jaraknya !
4. Diketahui m = -26,73; M = 4,74, tentukan jarak dari Bumi ke Matahari !
Simaklah pembahasan berikut agar sobat sekalian makin paham dengan materi magnitudo











1 Komentar
Mengapa harus repot2 menghitung astronomi? Apa penerapan pengukuran tersebut di kehidupan sehari-hari?
BalasHapus